不能读取jquery

2003年全国普通高等学校招生统一考试 上海数学(文史类)试卷 及答案 2003-06-10 11:47:15

 

mat_w01.gif

mat_w02.gif

mat_w03.gif

mat_w04.gif

mat_w05.gif

mat_w06.gif

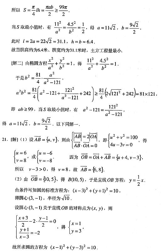
00001607.gif

mat_wda02.gif

mat_wda03.gif

mat_wda04.gif